Skip to content
Monolito Nimbus

Monolito Nimbus

o conhecimento está em toda parte

  • Início
  • Ciências
    • Livro digital: Noções de Meteorologia
    • Atlas de nuvens
  • Informática
    • Meu curso de Linux
  • Aviação
    • Comissário Nerd
    • Caçadores da Aeronave Perdida
  • Variedades
    • Turismo
    • Skorlun, o gnomo druida
    • Urk, o Aarakocra Clérigo
    • CPB do jardim
  • Contato
    • Licença de uso
    • Mídia kit
    • Contribua

Tag: Matemática

Imagem aéra da maior piscina do Brasil. Fonte: Reprodução/Assessoria

Quanta água evapora a maior piscina do Brasil?

12 de maio de 2023 Vinicius Ciências

A maior piscina do Brasil fica em Cuiabá (MT), uma das capitais mais quentes e secas do país. Ela foi construída pela mesma empresa responsável

Leia mais
Imagem original, imagem com limiar e gráfico com valores de entropia cruzada em função de cada limiar (limiar ótimo assinalado com reta vertical; "caminho de otimização" em laranja)

Entropia cruzada em imagens

8 de novembro de 2022 Vinicius Informática

A entropia representa o valor médio da informação (grau de incerteza) associada às probabilidades dos objetos de um evento (variável aleatória discreta ou continua ou

Leia mais
Simulador de pregões com nuvens de Ichimoku representadas. Fonte: Ichimoku traders

Nuvens de Ichimoku

4 de maio de 2022 Vinicius Ciências

A obsevação de nuvens inspirou o jornalista japonês Goichi Hosoda a desenvolver uma metodologia de análise técnica no final dos anos 1930 – mas que

Leia mais
"Vamo fazê uma apostinha?" Clayton Silva e Carlos Alberto de Nóbrega no programa "A Praça é Nossa". Créditos: SBT

Apostando na previsão de tempo – literalmente

10 de abril de 2022 Vinicius Ciências

Além dos jogos das casas lotéricas, as apostas esportivas são formas muito comuns de arriscar um palpite em troca da possibilidade de ganhar um dinheiro

Leia mais
Panfleto de supermercado de novembro de 2000. Fonte: Webtudo

Correção monetária

22 de março de 2022 Vinicius Variedades

Com a alta da inflação dos últimos anos, vários memes apareceram na internet comparando o preço de produtos anunciados tempos atrás com os valores cobrados

Leia mais

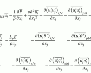
Métodos numéricos para modelagem atmosférica

26 de janeiro de 2022 Vinicius Ciências, Informática

Esse post aborda alguns tópicos importantes de métodos numéricos com foco na modelagem atmosférica e sobre a parametrização de processos da atmosfera. Modelos numéricos de

Leia mais
Amplitude da onda quadrada com a solução analítica em branco, a solução de 2ª ordem em verde e a solução de 4ª ordem em amarelo considerando 𝜇 = 0.2

Erros de soluções numéricas e Runge-Kutta

18 de janeiro de 2022 Vinicius Informática

As principais fontes de erros nas soluções numéricas, além de erros como os devidos à estabilidade de discretização e à escolha do método numérico, são

Leia mais
Livros didáticos de Física e de Matemática da Moderna. Fonte: divulgação

Portfólio – Editora

30 de junho de 2021 Vinicius Ciências

O portfólio é uma lista de trabalhos de um profissional ou empresa relacionados dentro de um escopo. Aqui segue o portfólio que realizei junto à

Leia mais

O sinal e o ruído

13 de outubro de 2020 Vinicius Ciências

O livro “O Sinal e o Ruído – Por que Tantas Previsões Falham e Outras não” (“The Signal and The Noise”) foi escrito pelo estatístico

Leia mais
"Lightning! Ask Your Questions Tonight (NASA, Marshall, 06/23/11)" por NASA's Marshall Space Flight Center, licenciada como CC BY-NC 2.0

Qual a probabilidade de ser atingido por um raio?

22 de setembro de 2020 Vinicius Ciências

Depende. “Now, the world don’t move to the beat of just one drum…” Mas tirando a brincadeira do meme que encerra bruscamente o assunto com

Leia mais

Paginação de posts

«Previous Posts 1 2 3 4 … 11 Next Posts»

Tags

Aeronaves Arte Astronomia Automóveis BTTF Cristianismo Dicas de estudo Economia Educação Educação aeronáutica Entrevistas Esportes Estados Unidos Europa Ficção Filmes Fotografia Física Gastronomia História Hobbies Humor Internet Life hacking Linux Livros Matemática Meteorologia Mitos Música Palestras PHP Place hacking Política Programação Psicologia Python R Raspberry Pi Saúde Shell script São Paulo Tecnologia TV Wordpress

Posts recentes

  • John Martin e as nuvens
  • Raios e trovões de Stranger Things
  • Por que ler no Kindle é muito melhor do que no celular
  • Por que os brasileiros gostam tanto de açúcar?
  • Artigo duplo cego com LaTeX

Publicidade

Sobre o site

Facebook - Comissário Nerd Instagram Canal do Youtube Linkedin Github

TEXTOS NOVOS TODA SEMANA!

O site Monolito Nimbus existe desde 2013 com a missão de divulgar conhecimento através de uma visão científica do mundo – afinal, a vida não é um assunto só – e promover o pensamento crítico. Seu nome é uma referência ao monolito da obra “2001: uma odisseia no espaço”, que é uma ferramenta para acelerar o desenvolvimento humano, e à meteorologia, através da palavra nimbus – que consta de alguns gêneros de nuvens.

Publicidade

Licença Creative Commons Antes de usar o conteúdo de Monolito Nimbus, veja nossa licença de uso.
Clique em "Aceitar" para utilizar todos os cookies do site, que permitem lembrar suas preferências e visitas
Aceitar
Política de privacidade

Privacy Overview

This website uses cookies to improve your experience while you navigate through the website. Out of these cookies, the cookies that are categorized as necessary are stored on your browser as they are essential for the working of basic functionalities of the website. We also use third-party cookies that help us analyze and understand how you use this website. These cookies will be stored in your browser only with your consent. You also have the option to opt-out of these cookies. But opting out of some of these cookies may have an effect on your browsing experience.
Necessary
Sempre ativado
Necessary cookies are absolutely essential for the website to function properly. This category only includes cookies that ensures basic functionalities and security features of the website. These cookies do not store any personal information.
Non-necessary
Any cookies that may not be particularly necessary for the website to function and is used specifically to collect user personal data via analytics, ads, other embedded contents are termed as non-necessary cookies. It is mandatory to procure user consent prior to running these cookies on your website.
SALVAR E ACEITAR